一、PERT三点估算
1、β分布
期望持续时间/成本 =(最悲观+最可能*4+最乐观)/6
2、三角分布
期望持续时间/成本 =(最悲观+最可能+ 最乐观)/3
3、标准差
标准差= (最悲观时间-最乐观时间)/6
4、正负西格玛
1(68%)、2(95%)、3(99%)
![图片[1]-软考高项计算题进度类考点公式汇总](https://www.rkyes.com/wp-content/uploads/2024/06/image-90.png)
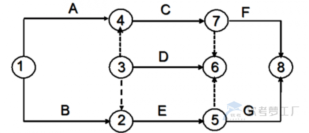
二、单代号网络图(会画图)
1、画图
正推法:最早,取最大
逆推法:最迟,取最小
2、找关键路径
从起点到终点所有路径活动之和最大的路径;
可能有多条关键路径;
3、计算总工期
关键路径上所有活动持续时间之和;
4、总时差
画图:最迟最早
不画图:关键路径长度 – 经过这个活动最大非关键路径长度
5、自由时差
画图:min{紧后工作最早开始时间} – 本工作最早完成时间
不画图:
紧后工作是关键工作:自由时差 = 总时差
紧后工作不是关键工作或者既有关键工作也有非关键工作:自由时差 = 0
6、工期压缩
(1)压缩关键路径上的工作;
(2)压缩可以压缩的活动;
(3)压缩花费代价最小的活动;
(4)注意关键路径变化的问题;
(5)注意是否有间接费用的节约;
![图片[2]-软考高项计算题进度类考点公式汇总](https://www.rkyes.com/wp-content/uploads/2024/06/image-91.png)
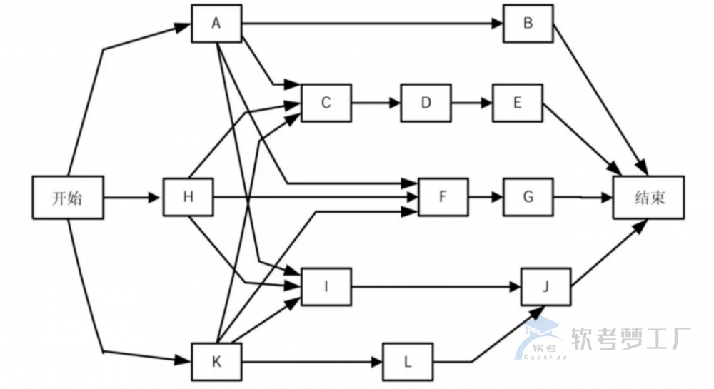
三、双代号网络图(会画图)
1、关键路径
从起点到终点所有路径活动之和最大的路径
2、总工期
关键路径上所有活动持续时间之和
3、总时差
关键路径长度-经过这个活动最大非关键路径长度
4、自由时差
用标号法结合网络图去求解;
![图片[3]-软考高项计算题进度类考点公式汇总](https://www.rkyes.com/wp-content/uploads/2024/06/image-92.png)
四、双代号时标网络图(会画图)
1、画图
会看图、画图;
是资源平衡/平滑类计算题解题神器,需要会算最少几个人的问题;
2、找关键路径
持续时间最长的路径【虽有波形线但是时间最长也是关键路径】
3、计算总工期
关键路径上所有活动持续时间之和
4、总时差
以该工作为起点,到终点,可能有很多条路径,把每条路径的波浪线的长度的和求出来,和的最小值就是自由时差;
该工作完成节点到项目全部完成时的节点之间波形线投影值之和的最小值 + 该工作的自由时差;
5、自由时差
该工作箭线上波形线投影的长度
6、工期压缩
同单代号网络图
![图片[4]-软考高项计算题进度类考点公式汇总](https://www.rkyes.com/wp-content/uploads/2024/06/image-93.png)
五、横道图
1、关键路径
从后往前推,能够收尾相连的
2、总工期
关键路径上所有活动持续时间之和
3、总时差和自由时差
图上看不出来,可结合单双代号网络图进行计算
![图片[5]-软考高项计算题进度类考点公式汇总](https://www.rkyes.com/wp-content/uploads/2024/06/image-94.png)
六、其他类
1、EMV决策树计算
EMV = 盈利百分比*影响值 – 风险百分比*影响值
EMV = 各活动Σ净利润(收入-成本)×%
2、沟通渠道计算
n(n-1)/2,n代表干系人数量
3、自制/外购分析
对比成本大小、技术、涉密、长期使用等方面对比;
自制的成本算出来,外购的成本算出来,比较大小就好;
4、加权系统
n项分值之和除以n,乘以权重比例;
5、系统可用性
可用时间/总时间
平均无故障时间 /(平均无故障时间+平均维修时间)*100%
6、运筹学计算
具体看我发的视频资料;
7、其他
净现值 F=P×(1+i)n
投资回收期(静态) = (T-1)+ 第(T-1)年累计现金流量绝对值/第T年现金流量
投资回收期(动态) = (T-1)+ 第(T-1)年累计折现值/第T年折现值
ROI投资收益率分析 = (总的折现收益-总的折现成本)/折现成本
ROI投资收益率分析(第4版的公式) = 项目达产后正常年份的利润/投资总额
关注公众号
添加微信好友













![表情[dabing]-软考梦工厂](https://www.rkyes.com/wp-content/themes/zibll/img/smilies/dabing.gif)
![表情[ciya]-软考梦工厂](https://www.rkyes.com/wp-content/themes/zibll/img/smilies/ciya.gif)
![表情[aoman]-软考梦工厂](https://www.rkyes.com/wp-content/themes/zibll/img/smilies/aoman.gif)
![表情[qiang]-软考梦工厂](https://www.rkyes.com/wp-content/themes/zibll/img/smilies/qiang.gif)

暂无评论内容